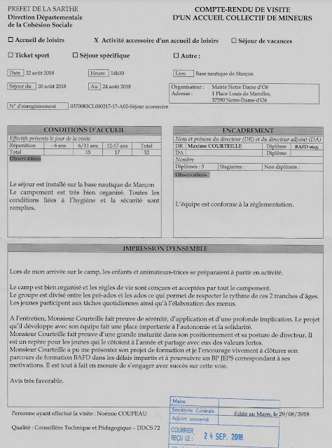
Durant les vacances d'été Cap jeunes a fait l'objet d'un contrôle de la Direction Départementale de la Cohésion Sociale lors d'un camp à Marçon .
Cliquer sur l'image ci dessous pour lire l'avis transmis aux élus oésiens .
De quoi satisfaire les responsables, les parents et les jeunes accueillis dans la structure :

Aucun commentaire:
Enregistrer un commentaire